A Journal Through My Activities, Thoughts, and Notes
@26963 独立的挪威在东格陵兰开始了大规模且经常是非法的捕鱼活动,并在米格布腾(Myggebugten)(蚊子湾Mosquito Bay)建立了捕鱼木屋和一个广播电台,宣称那里是无主之地。丹麦和挪威曾多次试图在尊重丹麦主权的前提下达成持久的解决方案。
不久后挪威的一支探险队宣布北纬71度30分到75度40分的地区属于挪威领土,并将之命名为红胡子埃里克之地,意指第一个北欧定居者是挪威人的事实,这对丹麦政府和格陵兰的两级议会来说都是不可接受的。
当挪威政府和议会同意承认最初对格陵兰东北部的私人兼并时,两国间的矛盾冲突恶化了。丹麦政府别无选择,只能将此案提交海牙国际法庭审理。丹麦以压倒性多数打赢了这场官司,从而在1933年结束了丹麦和挪威在格陵兰的“领土战争”。
#书摘
不久后挪威的一支探险队宣布北纬71度30分到75度40分的地区属于挪威领土,并将之命名为红胡子埃里克之地,意指第一个北欧定居者是挪威人的事实,这对丹麦政府和格陵兰的两级议会来说都是不可接受的。
当挪威政府和议会同意承认最初对格陵兰东北部的私人兼并时,两国间的矛盾冲突恶化了。丹麦政府别无选择,只能将此案提交海牙国际法庭审理。丹麦以压倒性多数打赢了这场官司,从而在1933年结束了丹麦和挪威在格陵兰的“领土战争”。
#书摘
然而,多个考古学发现却表明东格陵兰沿整个海岸线从北到南都有人居住过。我们知道从加拿大迁徙来的第一批人类可能是追随麝牛的足迹,但是却没有证据显示东北格陵兰在远古时期曾有人居住。所有随后的文物发现仅限于从法韦尔角的努纳普伊苏阿(Nunap Isua)向北,延伸至阿玛萨利克(Ammassalik)(旧名塔西拉克 Tasiilaq)以南北纬65度36分之间的沿海地区。东格陵兰的大部分地区的气候条件使得早期定居者无法进入。
1884年,丹麦海军军官古斯塔夫•霍尔姆斯第一次与格陵兰东部的因纽特人接触。他乘坐一艘乌米亚克小船在海岸和海冰之间一直航行到阿玛萨利克,在那里他发现了413个从未与丹麦人接触过的居民。霍尔姆斯的探险队由四艘乌米亚克小船和七艘卡亚克单人皮划艇组成,共有37人参加,到达这片已经与世隔绝2000年的土地上。东部的因纽特人继续保持与世隔绝的状态直到1940年,但有一些人类学家和民族志学者访问并且描述过他们。事实证明,这种文化与“多塞特文化”密切相关,“多塞特文化”在公元200年左右从西格陵兰消失。但与东格陵兰人不同的是,西格陵兰的因纽特人使用金属,这一定是来源于西南地区,并可能是那里的北欧定居者带来的。霍尔姆斯以善良和同理心描述了这些人,他对当地的习俗也有很深刻的理解。十年之后的1896年,霍尔姆斯回到此处,与牧师鲁特一起建立了阿玛萨利克殖民地。他们齐心协力作,使得原住民之间停止了频繁的杀戮。在他们到达时,这个新殖民地受到过去几年饥荒的摧残,人口己经萎缩到了247人。
有400年历史的丹麦-挪威王国是拿破仑战争的大输家之一,随着1814年基尔和平条约的签订而分裂。挪威被授子给胜利者瑞典,尽管这个被迫的联盟是短暂的,1905年挪威即获得独立。然而,在基尔条约中,格陵兰被宣告为丹麦所有,尽管这个岛屿到底有多大还不清楚。 #书摘 极地手册
1884年,丹麦海军军官古斯塔夫•霍尔姆斯第一次与格陵兰东部的因纽特人接触。他乘坐一艘乌米亚克小船在海岸和海冰之间一直航行到阿玛萨利克,在那里他发现了413个从未与丹麦人接触过的居民。霍尔姆斯的探险队由四艘乌米亚克小船和七艘卡亚克单人皮划艇组成,共有37人参加,到达这片已经与世隔绝2000年的土地上。东部的因纽特人继续保持与世隔绝的状态直到1940年,但有一些人类学家和民族志学者访问并且描述过他们。事实证明,这种文化与“多塞特文化”密切相关,“多塞特文化”在公元200年左右从西格陵兰消失。但与东格陵兰人不同的是,西格陵兰的因纽特人使用金属,这一定是来源于西南地区,并可能是那里的北欧定居者带来的。霍尔姆斯以善良和同理心描述了这些人,他对当地的习俗也有很深刻的理解。十年之后的1896年,霍尔姆斯回到此处,与牧师鲁特一起建立了阿玛萨利克殖民地。他们齐心协力作,使得原住民之间停止了频繁的杀戮。在他们到达时,这个新殖民地受到过去几年饥荒的摧残,人口己经萎缩到了247人。
有400年历史的丹麦-挪威王国是拿破仑战争的大输家之一,随着1814年基尔和平条约的签订而分裂。挪威被授子给胜利者瑞典,尽管这个被迫的联盟是短暂的,1905年挪威即获得独立。然而,在基尔条约中,格陵兰被宣告为丹麦所有,尽管这个岛屿到底有多大还不清楚。 #书摘 极地手册
早上六点半,拉开窗帘,一轮圆月静静地挂在北方的天空里。有拍一张照片的冲动,但窗玻璃上一层薄薄的冷凝水打消了我的念头。就让这份美丽留在心里吧。
刚刚我再去窗边,玻璃上不再有水汽,但朗朗晴空里啥也没有。仿佛那轮圆月从来没有呆在那里。查了一下日历,腊月17日。那我应该是没有看错。应该只是现在天太亮了,所以看不到。
刚刚我再去窗边,玻璃上不再有水汽,但朗朗晴空里啥也没有。仿佛那轮圆月从来没有呆在那里。查了一下日历,腊月17日。那我应该是没有看错。应该只是现在天太亮了,所以看不到。
#xe Yesterday, I first actioned on the new comments Rod put on MT-45677 and then fixed a small issue Alan found in MT-60066, and now it works great. In the end, Alan taught me the way to test MT-45677 but I haven't done the preparation. And this morning, Alan met a database deployment issue when testing MT-57055, and it took me a while to fix it. So for today, I'll continue try to test MT-45677 first, and if I can finish it early, I'll start working on the new ticket MT-60379, the incoming bank statements for BankCircle. That's me
@26930 本-耶胡達是為人所熟知的「希伯來語復興之父」。他於1858年出生於立陶宛,本名為Eliezer Perlman,1881年移居巴勒斯坦(Abley, 2003)。他確信猶太人需要回到故土,並且說祖先的語言,因此,取了Ben Yehuda這個希伯來語名字。他的小孩於1882年在耶路撒冷出生,取名為Ittamar Ben-Avi,本·耶胡達決心打造一個完全希伯來語的家庭環境,因此,不讓他跟其他的小孩子玩。據說,他的小孩子快出生的時候,他堅持要先給產婆上一堂希伯來語課,才允許產婆給他太太接生。本-耶胡達爲了讓小孩子掌握希伯來語文法性別(gender)的觀念,家裡的貓跟狗,都分別飼養兩隻,一公、一母(Abley, 2003)。
#书摘
#书摘
Just as libraries did not replace universities, AI will not replace them either. It will, however, profoundly change how universities teach and what they teach.
Libraries never replaced the university because the university’s core is not access to information; it’s structured learning, mentorship, discussion, and the cultivation of judgment. Similarly, AI can provide massive knowledge, generate content, and assist learning—but it cannot replace the social, mentorship, and critical-thinking functions of a university. It changes how teaching and learning happen, not what the institution fundamentally is.
但这建立在人类还需要学习/工作的前提之下。当AI进化到不再需要人类监护,能够独立完成目前人类需要做得绝大部分事情。人类将变得多余。
Libraries never replaced the university because the university’s core is not access to information; it’s structured learning, mentorship, discussion, and the cultivation of judgment. Similarly, AI can provide massive knowledge, generate content, and assist learning—but it cannot replace the social, mentorship, and critical-thinking functions of a university. It changes how teaching and learning happen, not what the institution fundamentally is.
但这建立在人类还需要学习/工作的前提之下。当AI进化到不再需要人类监护,能够独立完成目前人类需要做得绝大部分事情。人类将变得多余。
我让ChatGPT基于我经常用的另一个头像生成的“兔斯基”风格的新头像。虽然根本不兔斯基,我还是挺喜欢。
!image
!image
#网友语录 白板报 Baibanbao
在飞机上可舍不得睡觉。人类百年科技把我们送上蓝天,我们却在云端呼呼大睡,这不是暴殄天物吗?因此,无论如何,我要在空中写点什么。
在机舱里,可以目击人类的信息饥渴,哪怕手机置于飞行模式,人们依然在屏幕上划来划去,安卓人提前存好了视频,苹果人大部分不会往手机上传输文件,只能打开相册重温那些不太愿意回首的过往,直面那些不愿再见到的人,还有那些拍的七歪八扭、除了前景中一棵清晰的树和消防栓全都糊成一片的非不善、非不快乐的瞬间。
靠着过道的人伸长了脖子贪恋地看舷窗外的云海,而提前抢到靠窗座位的人正袖手缩脖地酣睡。空姐在卖仨瓜俩枣的餐饮,仿佛航空公司的盈亏全靠不知名字的瓶装水,它甚至不符合矿泉水的国标8537,而是滥竽充数的95128。
在飞机上可舍不得睡觉。人类百年科技把我们送上蓝天,我们却在云端呼呼大睡,这不是暴殄天物吗?因此,无论如何,我要在空中写点什么。
在机舱里,可以目击人类的信息饥渴,哪怕手机置于飞行模式,人们依然在屏幕上划来划去,安卓人提前存好了视频,苹果人大部分不会往手机上传输文件,只能打开相册重温那些不太愿意回首的过往,直面那些不愿再见到的人,还有那些拍的七歪八扭、除了前景中一棵清晰的树和消防栓全都糊成一片的非不善、非不快乐的瞬间。
靠着过道的人伸长了脖子贪恋地看舷窗外的云海,而提前抢到靠窗座位的人正袖手缩脖地酣睡。空姐在卖仨瓜俩枣的餐饮,仿佛航空公司的盈亏全靠不知名字的瓶装水,它甚至不符合矿泉水的国标8537,而是滥竽充数的95128。
## Routine 就是人生的复利
2026-01-30 (LimBoy)
我们通常会觉得 Routine 是「自由」的反义词,它让人联想到枯燥的重复、僵化的日程表,或者那种一眼就能望到头的生活,这是一个巨大的误解。
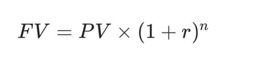
在谈论 Routine 之前,我们先来看看复利公式:
!image
把它放到人生这个大背景下,天赋、机遇和单次努力的强度,构成了那个基础的增长率 r。很多雄心勃勃的人都盯着 r 看。他们试图通过一次通宵工作、一个绝妙的点子或者一次爆发式的冲刺来获得巨大的 FV。
但这很难持久。
Routine 的作用,是掌控指数 n。
在很多方面,Routine 就像是定投。如果只有在「感觉来了」的时候才去写作,或者在「状态很好」的时候才去锻炼,你的 n 是断断续续的,增长曲线是锯齿状的。
而一个好的 Routine 是一种承诺:无论我今天感觉如何,无论 r 是大是小,那个 n 都会自动加一。
当 n 足够大时,它就不再是线性的累加,而是指数级的爆发。那些伟大的小说家每天早起写几千字,不是因为他们每天都有几千字的灵感,而是因为他们把写作变成了一种像刷牙一样的生理节律。他们不对抗它,只是执行它。
这就是 Routine 的本质:它把困难的事情自动化,从而让时间站在你这一边。
很多人认为「我不设计 Routine,是因为我不想被束缚」。但真相是:根本不存在「没有 Routine」这回事。
如果你不主动设计你的生活流程,你的身体和环境会为你设计一套。这套「默认 Routine」通常由你的生物本能(懒惰)和外部世界(诱惑)共同编写。
当你拿起手机无意识地刷了两个小时,这本身就是一个极其高效和稳固的 Routine。
既然「默认 Routine」也是自动化的,为什么我们还会感到疲惫?
因为你并没有完全放弃。内心依然有一个想要变好的声音,它在不断地试图把这辆正滑向舒适区的车拉回来。这就是决策疲劳的来源:一场无休止的内战。
你的本能说:“再休息一会。”
你的理智说:“不行,该干活了。”
你的本能说:“那先倒杯水?”
你的理智说:“好吧,但喝完马上开始。”
这种讨价还价非常消耗能量,宝贵的精力被浪费在了「决定要做什么」上,而不是「做这件事」本身。
一个好的 Routine(比如「穿上跑鞋 = 出门」)是一条不可协商的规则。它绕过了「谈判」环节,直接进入行动。在这个过程中,你宝贵的意志力没有被内耗掉,而是被完整地保留给了真正重要的问题:如何解决这个难题?如何把作品打磨得更好?
如果把人生看作是一项长期的投资,建立 Routine,意味着你从一个短视的投机者,变成了一个长期的价值投资者。
投机者依赖心情、运气、状态、灵感(r),而投资者诉诸系统和时间(n)。
当你开始设计 Routine 时,实际上是在重新分配资产。你不再说「没办法,我就是管不住自己」,而是开始像分析一张糟糕的资产负债表一样分析你的生活:「哦,看来我在‘压力大’这个触发条件下,会自动买入‘逃避’这项资产。我需要调整策略,把它换成‘运动’。」
这并不容易。改变习惯总是痛苦的,但如果坚持下去,哪怕只是每天微调一点点,复利的力量就会显现。
最开始,你只是改变了起床后的 30 分钟。一年后,你会发现你变了一个人。
你不仅改变了你做的事,你改变了你是谁。
所以,不要再把 Routine 看作是一张枯燥的时间表。它是你为了结束内耗、夺回控制权而制定的投资策略。它是你对抗熵增、对抗平庸、对抗混乱的武器。
Routine 就是人生的复利。
#网摘
2026-01-30 (LimBoy)
我们通常会觉得 Routine 是「自由」的反义词,它让人联想到枯燥的重复、僵化的日程表,或者那种一眼就能望到头的生活,这是一个巨大的误解。
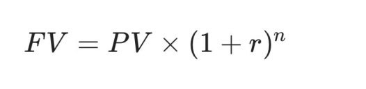
在谈论 Routine 之前,我们先来看看复利公式:
!image
把它放到人生这个大背景下,天赋、机遇和单次努力的强度,构成了那个基础的增长率 r。很多雄心勃勃的人都盯着 r 看。他们试图通过一次通宵工作、一个绝妙的点子或者一次爆发式的冲刺来获得巨大的 FV。
但这很难持久。
Routine 的作用,是掌控指数 n。
在很多方面,Routine 就像是定投。如果只有在「感觉来了」的时候才去写作,或者在「状态很好」的时候才去锻炼,你的 n 是断断续续的,增长曲线是锯齿状的。
而一个好的 Routine 是一种承诺:无论我今天感觉如何,无论 r 是大是小,那个 n 都会自动加一。
当 n 足够大时,它就不再是线性的累加,而是指数级的爆发。那些伟大的小说家每天早起写几千字,不是因为他们每天都有几千字的灵感,而是因为他们把写作变成了一种像刷牙一样的生理节律。他们不对抗它,只是执行它。
这就是 Routine 的本质:它把困难的事情自动化,从而让时间站在你这一边。
很多人认为「我不设计 Routine,是因为我不想被束缚」。但真相是:根本不存在「没有 Routine」这回事。
如果你不主动设计你的生活流程,你的身体和环境会为你设计一套。这套「默认 Routine」通常由你的生物本能(懒惰)和外部世界(诱惑)共同编写。
当你拿起手机无意识地刷了两个小时,这本身就是一个极其高效和稳固的 Routine。
既然「默认 Routine」也是自动化的,为什么我们还会感到疲惫?
因为你并没有完全放弃。内心依然有一个想要变好的声音,它在不断地试图把这辆正滑向舒适区的车拉回来。这就是决策疲劳的来源:一场无休止的内战。
你的本能说:“再休息一会。”
你的理智说:“不行,该干活了。”
你的本能说:“那先倒杯水?”
你的理智说:“好吧,但喝完马上开始。”
这种讨价还价非常消耗能量,宝贵的精力被浪费在了「决定要做什么」上,而不是「做这件事」本身。
一个好的 Routine(比如「穿上跑鞋 = 出门」)是一条不可协商的规则。它绕过了「谈判」环节,直接进入行动。在这个过程中,你宝贵的意志力没有被内耗掉,而是被完整地保留给了真正重要的问题:如何解决这个难题?如何把作品打磨得更好?
如果把人生看作是一项长期的投资,建立 Routine,意味着你从一个短视的投机者,变成了一个长期的价值投资者。
投机者依赖心情、运气、状态、灵感(r),而投资者诉诸系统和时间(n)。
当你开始设计 Routine 时,实际上是在重新分配资产。你不再说「没办法,我就是管不住自己」,而是开始像分析一张糟糕的资产负债表一样分析你的生活:「哦,看来我在‘压力大’这个触发条件下,会自动买入‘逃避’这项资产。我需要调整策略,把它换成‘运动’。」
这并不容易。改变习惯总是痛苦的,但如果坚持下去,哪怕只是每天微调一点点,复利的力量就会显现。
最开始,你只是改变了起床后的 30 分钟。一年后,你会发现你变了一个人。
你不仅改变了你做的事,你改变了你是谁。
所以,不要再把 Routine 看作是一张枯燥的时间表。它是你为了结束内耗、夺回控制权而制定的投资策略。它是你对抗熵增、对抗平庸、对抗混乱的武器。
Routine 就是人生的复利。
#网摘
#网友语录 dimlau 我们知道,宇宙中任何有质量的物体,速度都不可能达到光速,但是宇宙本身,在以超过光速的速度膨胀。结果就是,宇宙远端如果有一颗恒星,它发出的光,以光速朝我飞驰而来,却渐行渐远,永远也到达不了我的眼睛——我,永远,看不到它。更诡异的是,组成我躯体的原子,和那遥远深空中的星尘,本是同一个奇点。我也将活过、追求过,带着遗憾死去。
#网摘 1byte (江宏)在欧洲租车很少会拿到预约的车型,这次预约的是 Mini Cooper,取到的是 BMW。在国内开惯了电动车再开回油车还挺不习惯的。交通规则和国内最大的差别是红灯不能右转,另外在高速上大家都是在最右的车道行驶,只有超车会换到左边的车道,超完后马上换回右边,不像国内超车道只在理论上存在。
我出去旅行通常都会体验一下当地的公共交通。西班牙的公交对于非居民的方便程度基本和外国游客的数量成正比。比如 San Sebastián,虽然城市不算大,但是游客很多,只要上车刷信用卡就行。Zaragoza 虽然是大城市,但是不是旅游目的地,游客坐公交只能用现金向司机买票。
我出去旅行通常都会体验一下当地的公共交通。西班牙的公交对于非居民的方便程度基本和外国游客的数量成正比。比如 San Sebastián,虽然城市不算大,但是游客很多,只要上车刷信用卡就行。Zaragoza 虽然是大城市,但是不是旅游目的地,游客坐公交只能用现金向司机买票。